当前位置:
首页 >
产品&服务
产品类型
促销活动:
-

Block ACE - ELISA/Western blotting/免疫染色封闭剂
Block Ace是新型封闭剂,ELISA/RIA和Western blotting封闭剂,相较于传统封闭剂如牛血清白蛋白(BSA),Block Ace对抗原或抗体的非特异性吸附展现出更优异的封闭效果. -

JaICA微量元素检测试剂盒-70%优惠
日本老化制御研究所(JaICA)原装微量元素检测试剂盒,包括铁(Fe),不饱和铁结合力(UIBC),铜(Cu),锌(Zn),钙(Ca),镁(Mg),适用各种样品类型.现货速达. -

美国ABSBio热销细胞活性与细胞毒性检测试剂盒
美国Advanced BioReagents Systems(ABSbio)正热销三款细胞活性与细胞毒性检测试剂盒,LIVE/DEAD细胞活性/细胞毒性检测试剂盒,细胞活力/细胞毒性检测试剂盒,现在购买享双重好礼. -

小鼠抗PEG抗体ELISA试剂盒(IgG/IgM)
AffinityImmuno小鼠抗PEG抗体ELISA试剂盒,对小鼠IgG特异性和小鼠IgM特异性,检测范围:62.5 ng/mL-1000 ng/mL,70%优惠. -

AAT Bioquest荧光标记探针促销正当时:Lucigenin-MEQ-SPQ
美国AAT Bioquest荧光标记探针促销正当时,Lucigenin氯离子指示剂,MEQ氯离子荧光探针,SPQ氯离子荧光探针. -

Lucigenin
Lucigenin美国AAT Bioquest公司专业从事生物光谱领域,提供光谱检测,底物显色,荧光发光技术等全系列解决方案。
产品&服务(10053)
-

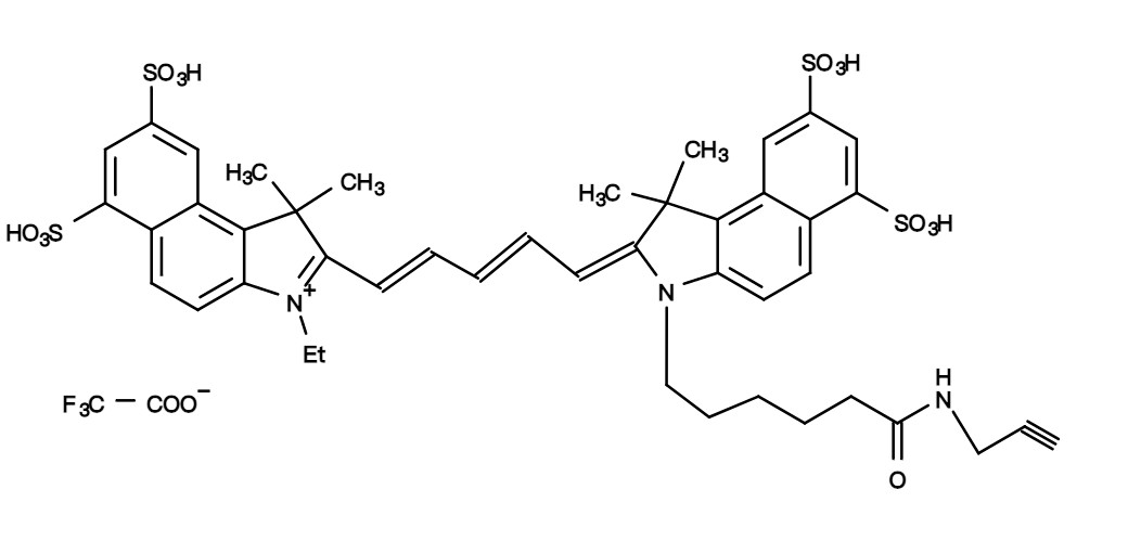
花青素5.5炔烃[等同于Cy5.5® 炔烃]
用于标记肽、蛋白质和寡糖购买花青素5.5炔烃[等同于Cy5.5® 炔烃],Cyanine 5.5 alkyne ,产自美国AAT Bioquest,勃谱科技现货速达,无忧售后.货号:179 规格:1 mg了解更多 -

VSV-G tag抗体
验证应用:WB | 众多文献引用购买VSV-G tag抗体,Anti-VSV-G tag Antibody(AB0113-100)经验证适用于WB应用,众多文献引用,质保期一年.SICGEN antibodies中国现货即刻查询.货号:AB0113-100 规格:300 µg了解更多 -

JetSpin®15mL超滤离心管(50kDa,PES)
蛋白吸附低 | 过滤速度快 | 回收率高JetSpin®15mL超滤离心管,50kDa MWCO,采用聚醚砜(PES)材料,蛋白吸附低过滤速度快,回收率高.现在订购JetBiofil洁特15mL超滤管享多买多赠活动.货号:FTT550500 规格:24个/盒了解更多 -

2mL冻存管(平盖,圆锥底,本色管,黄色盖,未灭菌)
无DNase/RNase | 无热原 | 无细胞毒性2mL冻存管,平盖,圆锥底,未灭菌,能耐受超低温,适用于细胞和组织的长期低温冷藏.现在订购JetBiofil洁特2mL细胞冻存管等实验室耗材享多重买赠好礼.货号:FCT611420 规格:5000支/箱了解更多 -

96孔深孔板(方孔,U底,无菌)
容量:2.2mL/孔 | 含盖 | 已灭菌96孔深孔板,方孔,U形底,无菌,无DNase/RNase,无热原.现在订购JetBiofil洁特96孔深孔板实验室耗材享多重买赠好礼.货号:DMP221196 规格:50个/箱了解更多 -

ICG-Sulfo-OSu
具有中等水溶性购买吲哚菁绿-Sulfo-OSu,ICG-Sulfo-OSu,产自美国AAT Bioquest,高文献引用.勃谱科技现货速达,无忧售后.货号:180 规格:1 mg了解更多 -

Mup20抗体
验证应用:WB | 众多文献引用购买Mup20抗体,Anti-Mup20 Antibody(AB0114-200)经验证适用于WB应用,众多文献引用,质保期一年.SICGEN antibodies中国现货即刻查询.货号:AB0114-200 规格:600 µg了解更多 -

JetSpin®15mL超滤离心管(100kDa,PES)
蛋白吸附低 | 过滤速度快 | 回收率高JetSpin®15mL超滤离心管,100kDa MWCO,采用聚醚砜(PES)材料,蛋白吸附低过滤速度快,回收率高.现在订购JetBiofil洁特15mL超滤管享多买多赠活动.货号:FTT400500 规格:8个/盒了解更多


